As mentioned earlier, one of the concepts that manipulatives can be used for is factoring. Factoring is a common mathematical process used to break down polynomials. When I was first introduced to factoring I was taught the many steps at how to factor a polynomial. For example, lets use:
To factor this equation a student would have to:
1) Find two numbers that multiply together to equal 9 but also add together to equal 6.
2) After figuring out that 3 and 3 both add together to 6 and multiply together to 9 the equation would have to be rewritten to:
3) The equation can then be broken apart where the student must know exponent rules and how the exponent rules work with variables as well:
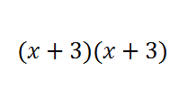
4) Lastly the equation can be rewritten as a binomial:
After all of those steps this is the final outcome. For some students this can be easy if you follow the procedure and get your correct factors for step 1, but this is not simple for all students. As an alternative to the stepwise method of finding common factors, manipulatives can be used to acquire the same answer except visually.
Some manipulatives that can be used to help with factoring are algebra tiles. In our class this week we used the 3 different sized algebra tiles to represent the variables and the two different coloured tiles to represent positive and negative.
Figure: Three different algebra tiles used as manipulatives to help with factoring equations.
Now lets try to factor that same equation using these algebra tiles as manipulatives. In order to do this properly the tiles need to be arranged within the box that they are stored in to help with the organization of terms.
Figure: Equation represented using algebra tiles.
The algebra tiles are arranged in a square (or sometimes rectangle) to represent the equation that is being factored. Now finding the factors for this equation is very simple once represented in this fashion! To find the factors you only use the "x" tiles and the "1" tiles along the borders of the box.
Figure: Equation factored using algebra tiles.
The "x" tiles are placed adjacent to the xsquared tile and the number tiles are placed adjacent to the "x" tiles that are within the box. At the top border you have 1 "x" tile plus 3 "1" tiles representing x+3 and the same on the other border. These two equations are your factors for the overall equation!
A benefit to using manipulatives for topics such as factoring is that it allows students to apply the knowledge they learn in a fun way instead of being lectured by the teacher and just doing homework problems over and over again. I think this would be a much better way to help teach factoring to students!







Hi Ryan,
ReplyDeleteI enjoyed reading your blog post this week. I liked how you talked about using manipulatives to help teach factoring and have students apply their knowledge. I wish I had been shown this way of looking at factoring in high school. Like you showed, having multiple representations of a concept is important for us to consider as future teachers.
Laura
Hi Ryan!
ReplyDeleteUsing manipulatives for certain mathematical concepts will definitely be an integral part of my future classroom! I think it is our job as prospective educators to use the numerous tools at our disposal in order to ensure student success. Through these multiple representations it gives each student the opportunity to engage with and excel in mathematics.
Great post
Hi Ryan,
ReplyDeleteGreat post I agree that using manipulatives for various mathematical concepts is extremely beneficial in the classroom. Like you said, it provides a fun and exciting way to approach the problem. I think the visual aspects (like algebra tiles) are the key to mathematical success as it allows the student to individually see each part of the problem and answer. I think this is much easier than just looking at numbers and using a memorized "traditional method" to solve them.
Mike